Search for media from: "Henk Buisman"

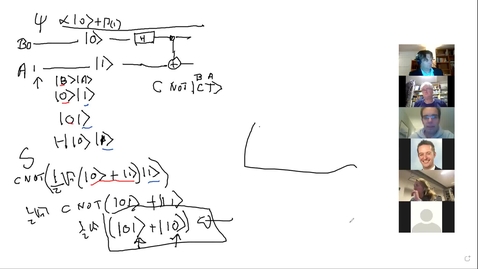
201008 Kansen met Quantum , Guido Linssen: De CNOT poort

201008 Docentencursus Kansen met Quantum Guido…

From  Henk Buisman 0 likes 21 plays 0  

201008 Kansen met Quantum, Annemarije Zwerver opdracht 3-16

201008 Docentencursus Kansen met Quantum…

From  Henk Buisman 0 likes 22 plays 0  

201008 Kansen met Quantum, Carlo Beenakker, Blik op de toekomst

201008 Docentencursus Kansen met Quantum college…

From  Henk Buisman 0 likes 5 plays 0  

201008 Kansen met Quantum, College Carlo Beenakker: Hoe bouw ik een quantum computer

201008 Docentencursus Kansen met Quantum college…

From  Henk Buisman 0 likes 45 plays 0  

20201105a college Lieven Vandersypen

20201105 Kansen met quantum college Lieven…

From  Henk Buisman 0 likes 8 plays 0  

20201105b AnneMarije Zwerver eilandspel

Cursus Kansen met Quantum

From  Henk Buisman 0 likes 14 plays 0  

20201105c Martin Mollema quantum fourier transform

Cursus Kansen met Quantum

From  Henk Buisman 0 likes 12 plays 0  

20201203a Kansen met Quantum Lodewijk Arntzen

College over de basis van quantum computing: de…

From  Henk Buisman 0 likes 47 plays 0  

20201203b Kansen met Quantum Annemarije Zwerver

Hoe bouw je een quantum computer

From  Henk Buisman 0 likes 11 plays 0  

202100413 Docentendavond

19.00 – 19.45 Dr. D.F.E. Samtleben:…

From  Henk Buisman 0 likes 8 plays 0  

20220127 Docentenavond contact.vwo

met bijdragen van Wolfgang Loeffler, Henk…

From  Henk Buisman 0 likes 21 plays 0  

Docentenavond20201111-lezing Camille de Valk

Camille de Valk: Econophysics

From  Henk Buisman 0 likes 21 plays 0  

Docentenavond20201111-lezing SenseJanVandermolen

hoofdlezing SenseJan van der Molen:…

From  Henk Buisman 0 likes 17 plays 0  

Docentenavond20210128-lezing Huib Jan van Langevelde 2.mp4

Prof. Huib Jan van Langevelde "Het eerste…

From  Henk Buisman 0 likes 10 plays 0  

Kansen met Quantum 20201203 Tom Kooij Ervaringen in de klas

ruw nog niet geknipt

From  Henk Buisman 0 likes 16 plays 0  

Verjaardag van Einstein 20210315

De verjaardag van Einstein met bijdragen van …

From  Henk Buisman 0 likes 51 plays 0