-
Hoe bouw je een quantum computer
20201203b Kansen met Quantum Annemarije Zwerver
-
201008 Docentencursus Kansen met Quantum college Carlo Beenakker
201008 Kansen met Quantum, Carlo Beenakker, Blik…
-
ruw nog niet geknipt
Kansen met Quantum 20201203 Tom Kooij Ervaringen…
-
College over de basis van quantum computing: de Schroedinger vergelijking en het meetprobleem.
20201203a Kansen met Quantum Lodewijk Arntzen
-
Cursus Kansen met Quantum
20201105c Martin Mollema quantum fourier transform
-
Cursus Kansen met Quantum
20201105b AnneMarije Zwerver eilandspel
-
De verjaardag van Einstein met bijdragen van (1'00")Vincent Icke: Zwarte gaten, de Einsteinfontein (17'44") Alexey Boyarski: beantwoordt vragen nav…
Verjaardag van Einstein 20210315
-
20201105 Kansen met quantum college Lieven Vandersypen
20201105a college Lieven Vandersypen
-
201008 Docentencursus Kansen met Quantum Annemarije Zwerver opgave 3.16
201008 Kansen met Quantum, Annemarije Zwerver …
-
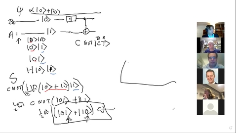
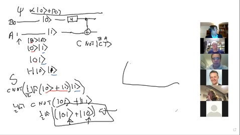
201008 Docentencursus Kansen met Quantum Guido Linssen Uitleg CNOT
201008 Kansen met Quantum , Guido Linssen: De…
-
201008 Docentencursus Kansen met Quantum college Carlo Beenakker
201008 Kansen met Quantum, College Carlo…
Search for ""